У исполнителя Бета две команды, которым присвоены номера;
1. Прибавь b
2. Умножь на 2
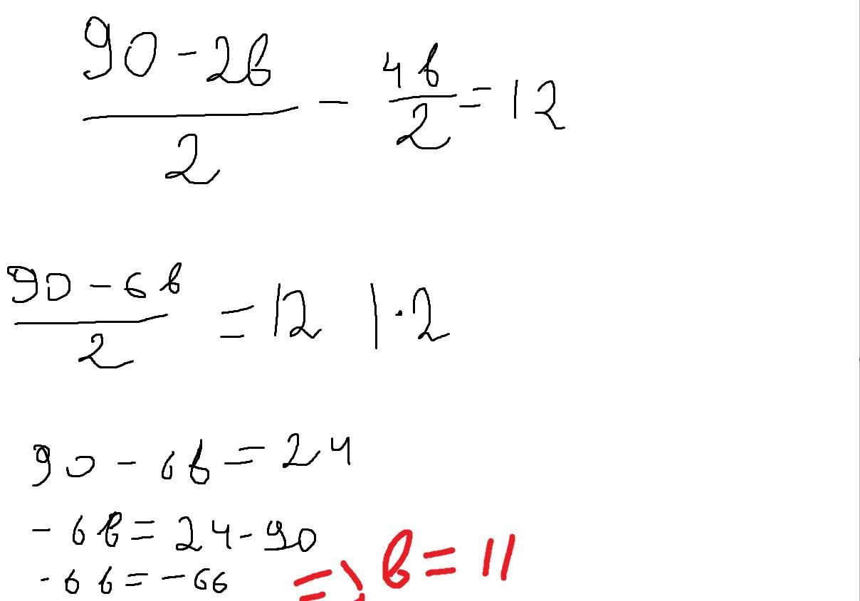
(b - неизвестное натуральное число) Выполняя первую из них,Бета увеличивает число на экране на b, а выполняя вторую, умножает это число на 2. Программа для исполнителя Бета-это последовательность номеров команд. Известно, что программа 11211 переводит число 12 в число 90. Определите значение b.
Ответы
Ответ дал:
0
Записываем действия с конца, заменяя противоположными
Приложения:
Вас заинтересует
2 года назад
2 года назад
3 года назад
3 года назад
9 лет назад
9 лет назад
10 лет назад