• Предмет: Алгебра
  • Автор: djalilovann19
  • Вопрос задан 8 лет назад

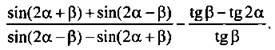
Упростите выражение

Приложения:

Ответы

Ответ дал: bohdana54
0

Ответ:

що могла то зробила якщо що звертайся

Приложения:
Ответ дал: djalilovann19
0
Спасибо
Вас заинтересует