• Предмет: Математика
  • Автор: mifi03
  • Вопрос задан 8 лет назад

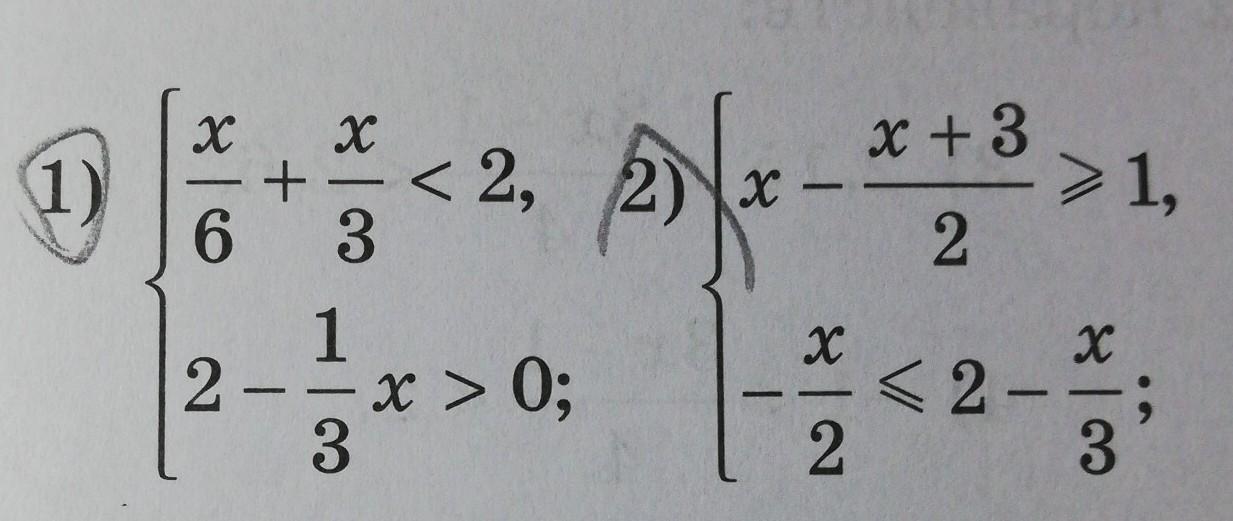
Помогите пожалуйста, математика 6 класс​

Приложения:

Ответы

Ответ дал: andrewbtc33
0

Ответ:

1) (-∞;4)

2)  [5; +∞)

Пошаговое объяснение:

1)x принадлежит (-∞;4)

2)x принадлежит [5; +∞)

Вас заинтересует