• Предмет: Информатика
  • Автор: Никольнейв
  • Вопрос задан 8 лет назад

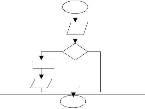
Дана блок – схема. Какая из предложенных задач может быть реализована с помощью данной блок – схемы?


А. Даны два действительных числа. Найти их разность, сумму и произведение.

В. Вычислить значение ункции у = 3х3+3х2+15 для значений х, изменяющихся от –1 до 2 с шагом 0,2.

Б. Даны действительные числа. Возвести в квадрат те из них, значения которых неотрицательны. Г. Определить, является ли данное целое число четным.

Приложения:

Ответы

Ответ дал: wixefak
0

Ответ:

Б. Даны действительные числа. Возвести в квадрат те из них, значения которых неотрицательны.

Объяснение:

Вас заинтересует