• Предмет: Математика
  • Автор: askarbekovna2000
  • Вопрос задан 8 лет назад

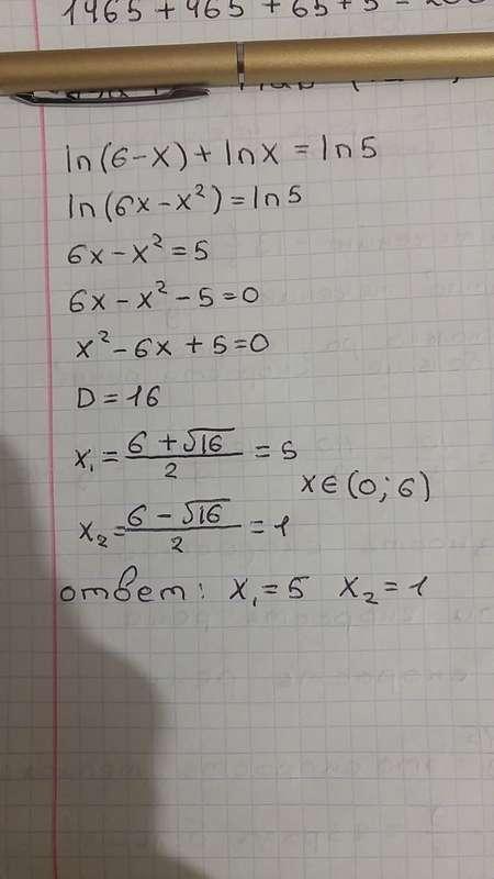
решите уравнения In(6-x)+Inx=In5​

Ответы

Ответ дал: Rodion1234567
0

Просто перепиши это и всё (Не забудь оценку поставить)

Приложения:
Вас заинтересует