• Предмет: Математика
  • Автор: proshka98
  • Вопрос задан 8 лет назад

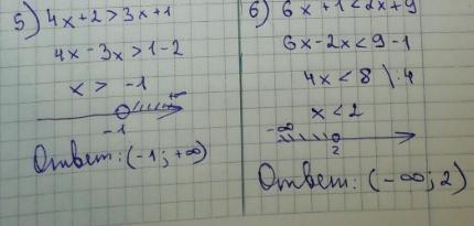
ПОМОГИТЕ СРОЧНО, 10 БАЛЛОВ ДАМ, 942 ЗАДАНИЕ!!
5 НОМЕР И 6 НОМЕР РЕШИТЕ!

Приложения:

Ответы

Ответ дал: ИльяЛис
0

вроде так, не знаю как у вас решать в школе(типо разные  решения есть)

Приложения:
Вас заинтересует