Ответы
Ответ дал:
0
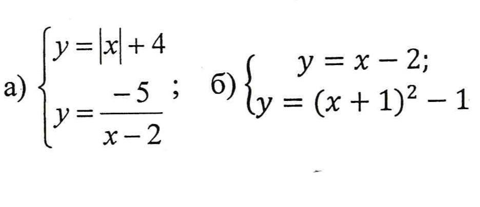
Cм. рисунки
a) (1;5)
б) нет решений
Приложения:


Вас заинтересует
2 года назад
8 лет назад
8 лет назад