• Предмет: Алгебра
  • Автор: migovaj
  • Вопрос задан 8 лет назад

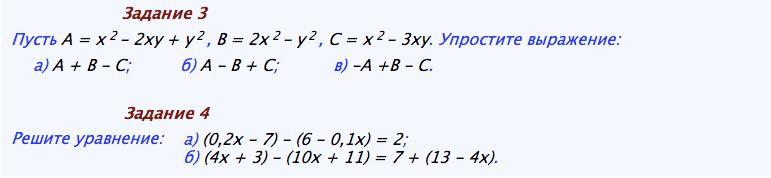
Помогитее срочно задание на фото!!!!!!! прошуу

Приложения:

Ответы

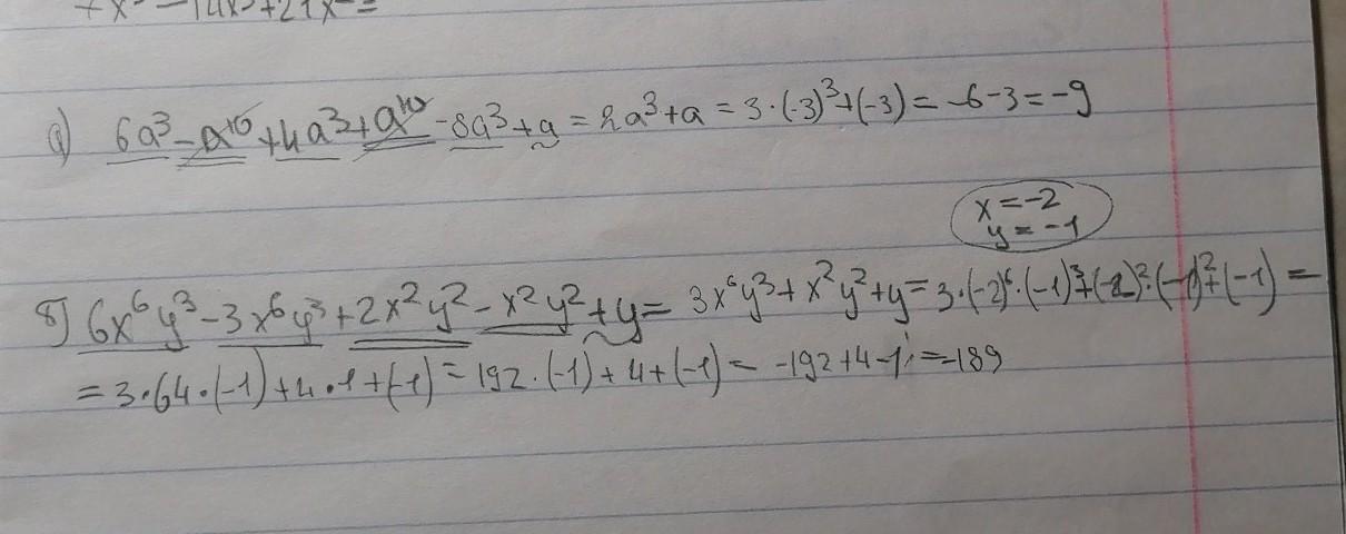
Ответ дал: liza0278
0

Объяснение:

Всё на фото есть ™™™™™™™™™™™

Приложения:
Вас заинтересует