• Предмет: Алгебра
  • Автор: njbhfgvds
  • Вопрос задан 8 лет назад

РЕШИТЕ ПОЖАЛУЙСТА ПРОШКК

Приложения:

Ответы

Ответ дал: sharofat0
0

Ответ:

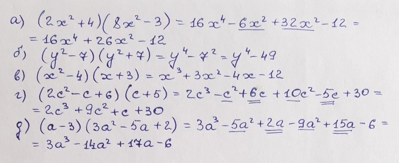
Представить в виде многочлена.

Приложения:
Вас заинтересует