• Предмет: Математика
  • Автор: учительХ
  • Вопрос задан 8 лет назад

Через дискреминант решите уравнения. ​

Приложения:

Ответы

Ответ дал: alokol
0

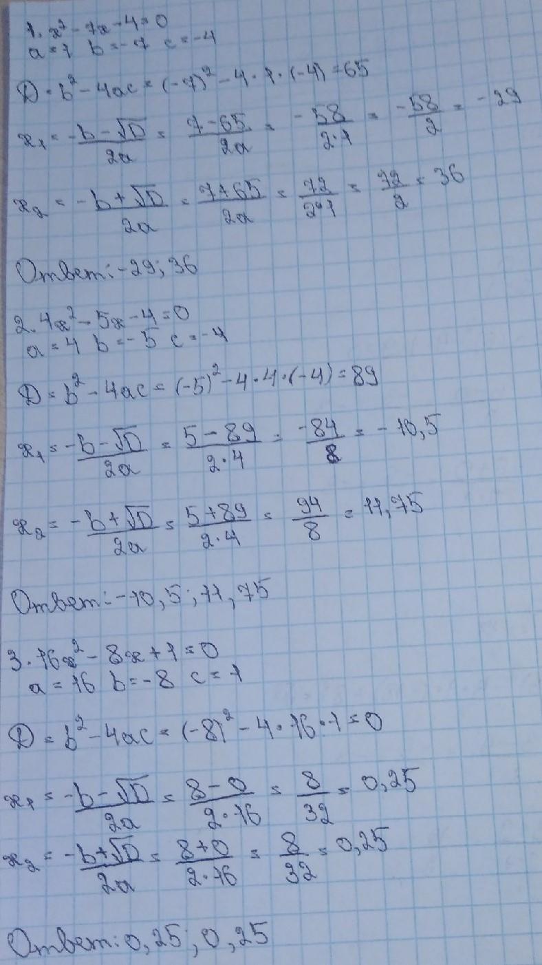
Первые 5 уравнений на фото, дальше тут:

6. x²+4х+5=0

a=1 b=4 c=5

D=b²-4ac= (4)²-4×1×5= -4

x₁= -b-√D/2a= 4-4/2×1= 0/2=0

x₂= -b+√D/2a= 4+4/2×1= 8/2=4

Ответ: 0;4

7. 14x²-5x-1=0

a=14 b=-5 c=-1

D= b²-4ac= (-5)²-4×14×(-1)= 81 = 9

x₁= -b-√D/2a = 5-9/2×14= -4/28 ≈ -0,143

х₂= -b+√D/2a = -5+9/2×14= 4/28 ≈ 0,143

Ответ: -0,143; 0,143

8. 4x²-x-67=0

a=4 b=-1 c=-67

D= b²-4ac= (-1)²-4×4×(-67)= 1073

x₁= -b-√D/2a = 1-1073/2×4= -1072/8= -134

x₂= -b+√D/2a = 1+1073/2×4 = 1074/8 = 134,25

Ответ: -134; 134,25

9. 4x²-12x+9=0

a=4 b=-12 c=9

D= b²-4ac = (-12)²-4×4×9=0

x₁= -b-√D/2a = 12-0/2×4= 12/8= 1,5

x₂= -b+√D/2a = 12+0/2×4= 12/8= 1,5

Ответ: 1,5; 1,5

10. 2x²-2=3x

2x²-2-3x=0

a=2 b=-2 c=-3

D= b²-4ac = (-2)²-4×2×(-3)= 28

x₁= -b-√D/2a = 2-28/2×2 = -26/4= -6,5

x₂= -b+√D/2a = 2+28/2×2= 30/2 = 15

Ответ: -6,5; 15

11. -5x²=9x-2

-5x²-9x+2=0

a=-5 b=-9 c=2

D= b²-4ac = (-9)²-4×(-5)×2= 121 = 11

x₁= -b-√D/2a = 9-11/2×(-5) = -2/-10= 0,2

x₂= -b+√D/2a = 9+11/2×(-5) = 18/-10 = -1,8

Ответ: 0,2; -1,8

12. 5x²-x-1=0

a=5 b=-1 c=0

D= b²-4ac = (-1)²-4×5×(0)= 1

x₁= -b-√D/2a = 1-1/2×5= 0/10= 0

x₂= -b+√D/2a = 1+1/2×5= 2/10= 0,2

Ответ: 0; 0,2

13. 3x²+5x=0

a=3 b=5 c=0

D= b²-4ac = (5)²-4×3×0=  0

x₁= -b-√D/2a = -5-10/2×3= -16/15 = 1,67

x₂= -b+√D/2a = -5+10/2×3 = 5/15 ≈ 0,3

Ответ: 0; 0,3

14. 19x-x²=0

x²+19=0

a=1 b=19 c=0

D= b²-4ac = (19)²-4×1×0 = 361=19

x₁= -b-√D/2a = -19-19/2×1=-38/2 = -19

x₂= -b+√D/2a = -19+19/2×1 = 0/2 = 0

Ответ: -19; 0

15. x²-100=0

a=1 b=0 c=-100

D= b²-4ac = (0)²-4×1×(-100) = 400 = 20

x₁= -b-√D/2a = -0-20/2×1=-20/2= -10

x₂= -b+√D/2a = -0+20/2×1= 20/2 = 10

Ответ: -10; 10

16. -7x²+13=0

a=-7 b=0 c=13

D= b²-4ac = (0)²-4×(-7)×(13)= 364

x₁= -b-√D/2a = -0-364/2×(-7)= -364/-14= 26

x₂= -b+√D/2a = -0+364/2×(-7)= 364/-14= -26

Ответ: 26; -26

17. 15x²=0

a=15 b=0 c=0

D= b²-4ac = (0)²-4×15×(0)= 0

x₁= -b-√D/2a = -0-0/2×15= 0/15= 0

x₂= -b+√D/2a = -0+0/2×15= 0/15 = 0

Ответ: 0;0

18. 0,5x²-72=0

a=0,5 b=0 c=72

D= b²-4ac = 0²-4×0,5×72 = -144

x₁= -b-√D/2a = -0-(-144)/2×0,5 = 144/1 = 144

x₂= -b+√D/2a = -0+(-144)/2×0,5 = -144/1 = -144

Ответ: 144; -144

На счет 19, 20 номера я не очень уверена, поэтому не решила.  Удачи!

Приложения:
Вас заинтересует