• Предмет: Алгебра
  • Автор: nargizamodijanova
  • Вопрос задан 8 лет назад

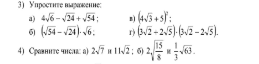
Решите пж алгебра 8 класс

Приложения:

Ответы

Ответ дал: natalyabryukhova
0

Ответ:

a)4sqrt{6}-sqrt{24}+sqrt{54}=4sqrt{6}-2sqrt{6}+3sqrt{6}=5sqrt{6}\b)(sqrt{54}-sqrt{24})*sqrt{6}=(3sqrt{6}-2sqrt{6})*sqrt{6}=sqrt{6}sqrt{6}=6\c)(4sqrt3}+5)^2=16*3+40sqrt{3}+25=73+40sqrt{3}\d)(3sqrt{2}+2sqrt{5})(3sqrt{2}-2sqrt{5})=9*2-4*5=-2\4)a)2sqrt{7}=sqrt{28}\11sqrt{2}=sqrt{121*2}=sqrt{242}\2sqrt{7}<11sqrt{2}\b)2sqrt{frac{15}{8}}=sqrt{frac{4*15}{8}}=sqrt{frac{15}{2}}=sqrt{7,5} \ frac{1}{3}sqrt{63}=sqrt{frac{63}{9}}=sqrt{7}\2sqrt{frac{15}{8}} >frac{1}{3}sqrt{63}

Объяснение:

Вас заинтересует