Ответы
Ответ дал:
0
Ответ:
Мда, на доске сверху решение, только подставить, кмон..
Пошаговое объяснение:
Ответ дал:
0
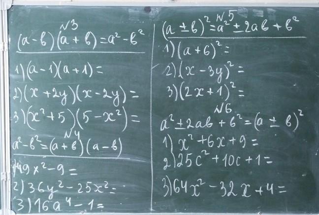
1. a2-1
2. X2-4y2
3. 25-x4
4. (7x-3)(7x+3)
5. (6y-5x)(6y+5x)
6.(4a-1)(4a+1)
7. A2+12a+36
8.x2-6xy+9y2
9.4x2+4x+1
10.(x+3)2
11.(5c+1)2
12.(8x-2)2
2. X2-4y2
3. 25-x4
4. (7x-3)(7x+3)
5. (6y-5x)(6y+5x)
6.(4a-1)(4a+1)
7. A2+12a+36
8.x2-6xy+9y2
9.4x2+4x+1
10.(x+3)2
11.(5c+1)2
12.(8x-2)2
Вас заинтересует
2 года назад
2 года назад
3 года назад
9 лет назад
9 лет назад
10 лет назад