• Предмет: Геометрия
  • Автор: 666pineapple666
  • Вопрос задан 8 лет назад

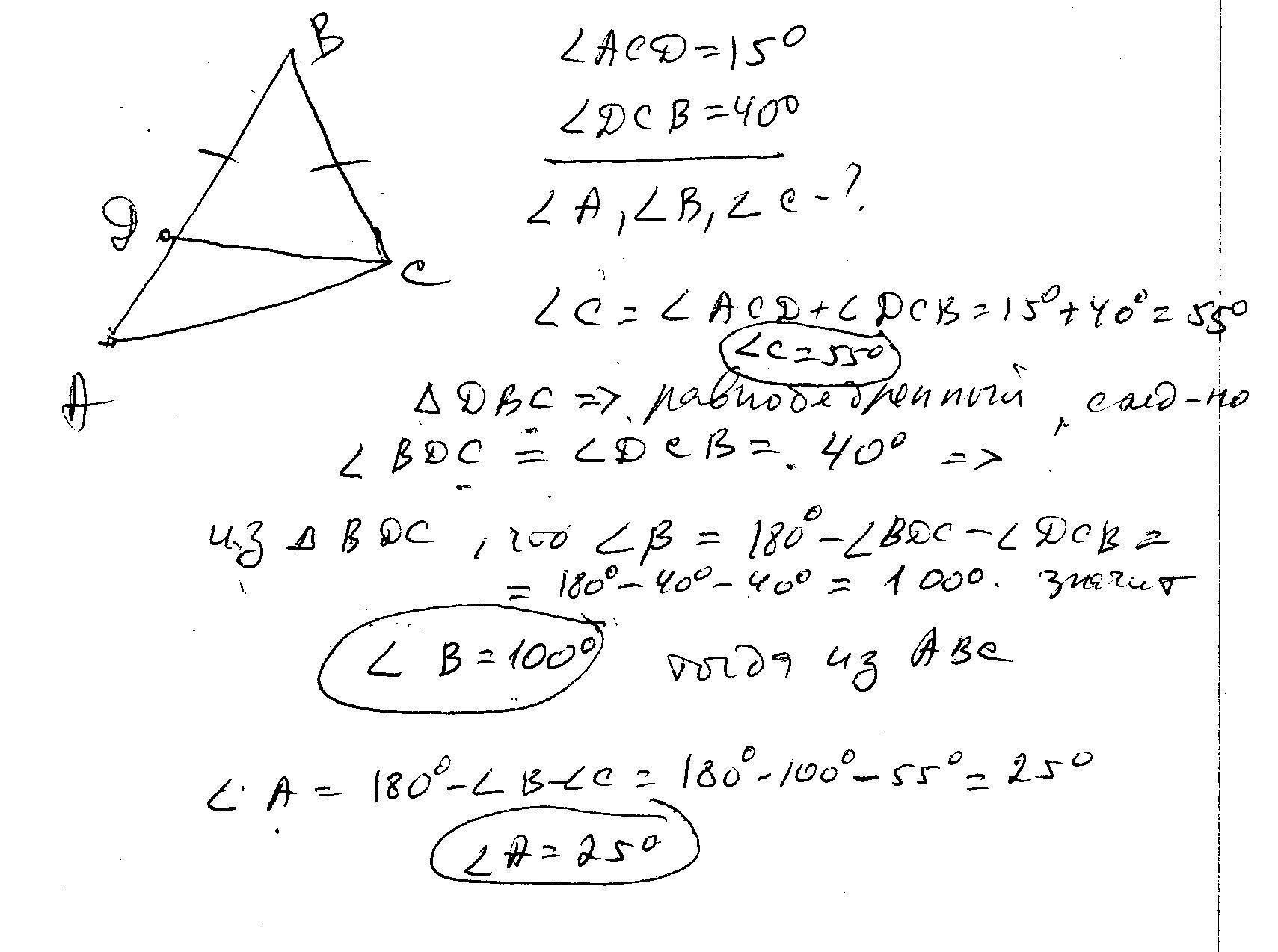
на стороне AB треугольника ABC отметили точку D так, что BD=BC, угол ACD=15°, угол DCB=40°. Найдите углы треугольника ABC. ​

Ответы

Ответ дал: andrewbtc33
0

Ответ:

угол С равен 55 градусам

угол А равен 25 градусам

Угол В равен 100 градусам

Объяснение:

Приложения:
Вас заинтересует