• Предмет: Математика
  • Автор: mauzm
  • Вопрос задан 8 лет назад

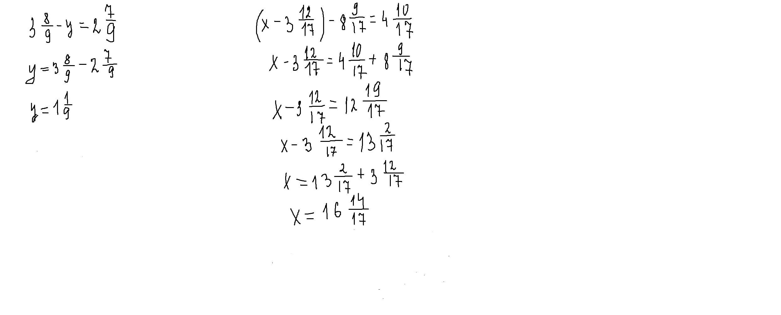
помогите пожалуйста решить уравнение что бы пожалуйста всё было понятно​

Приложения:

Ответы

Ответ дал: parus77
0

Ответ:

Пошаговое объяснение:

решение внизу

Приложения:
Вас заинтересует