• Предмет: Алгебра
  • Автор: marinasmirnova59409
  • Вопрос задан 8 лет назад

Помогите пожалуйста решить систему
 log_{ sqrt{2} }(x - y)  = 2 \ 2 {}^{x}  times 5 {}^{x - 2y}  = 40

Ответы

Ответ дал: Universalka
0

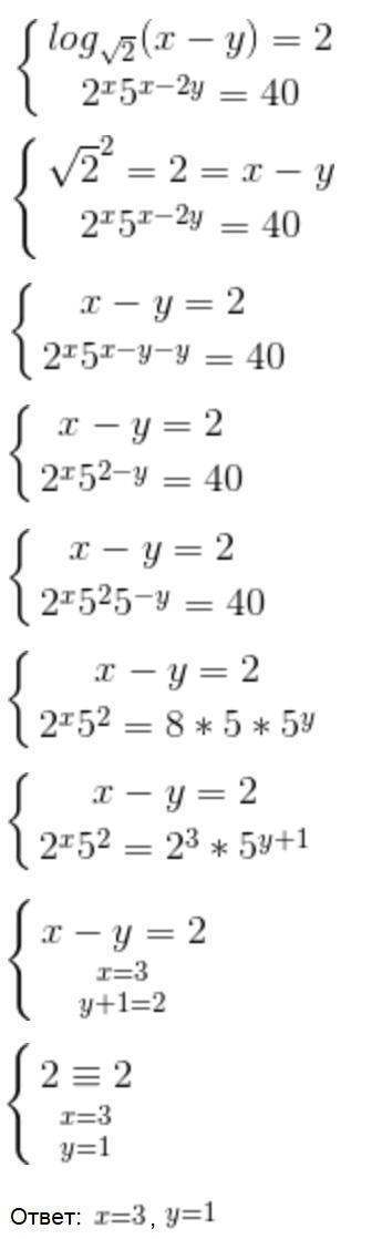
Решение во вложенном файле.

Приложения:
Вас заинтересует