• Предмет: Геометрия
  • Автор: yianamay13
  • Вопрос задан 8 лет назад

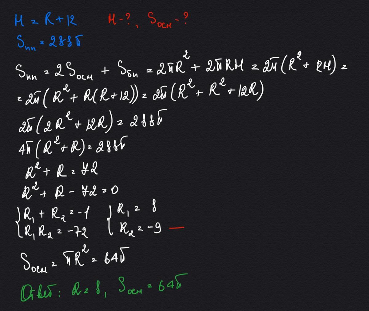
высота цилиндра на 12см больше радиуса его основания.​

Приложения:

Ответы

Ответ дал: vladbaranov201p67bwg
0
Ответ на картинке внизу
Приложения:
Вас заинтересует