Ответы
Ответ дал:
0
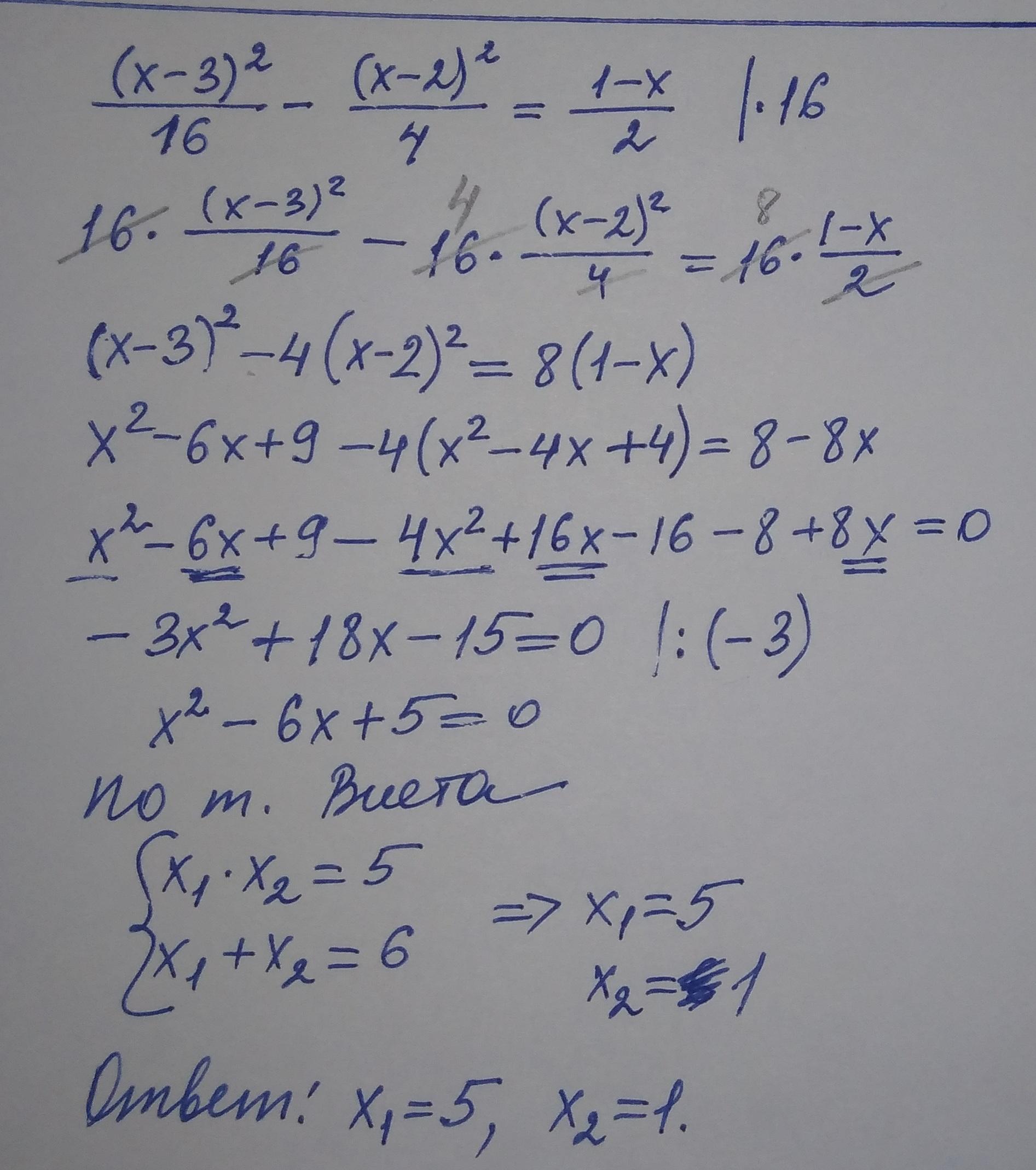
Смотри решение в прикрепленном файле.
Приложения:


Ответ дал:
0
Ответ:
надеюсь, что всё понятно
Приложения:

Вас заинтересует
2 года назад
2 года назад
3 года назад
3 года назад
8 лет назад
9 лет назад
9 лет назад