• Предмет: Алгебра
  • Автор: darkomarco
  • Вопрос задан 8 лет назад

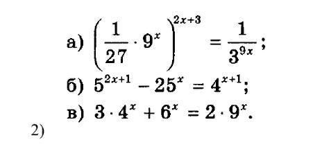
задачи с логарифмами (2 а б в)

Приложения:

Ответы

Ответ дал: Miroslava227
0

Ответ:

решение на фотографии

Приложения:
Вас заинтересует