Ответы
Ответ дал:
0
Ответ:
Пошаговое объяснение:
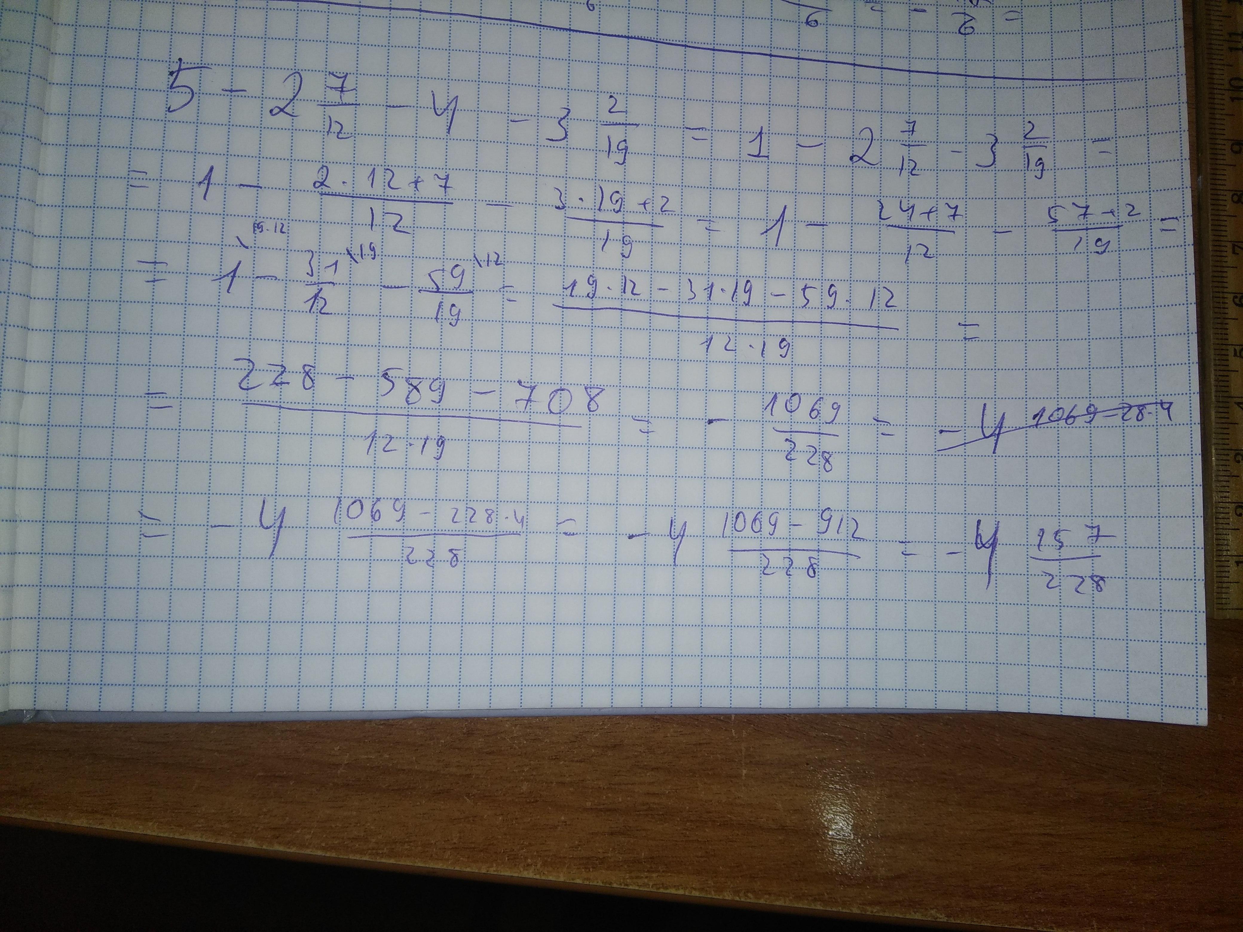
5ц-2ц7/12-4ц-3ц2/19=-(5ц-2ц-4ц-3ц)+(-7/12-2/19)= -4ц+((-133-24)/228)= -4ц157/228
Ответ дал:
0
Спасибо
Ответ дал:
0
Решение на фотографии
Приложения:

Вас заинтересует
2 года назад
2 года назад
3 года назад
8 лет назад
9 лет назад