• Предмет: Алгебра
  • Автор: yubobo2005
  • Вопрос задан 8 лет назад

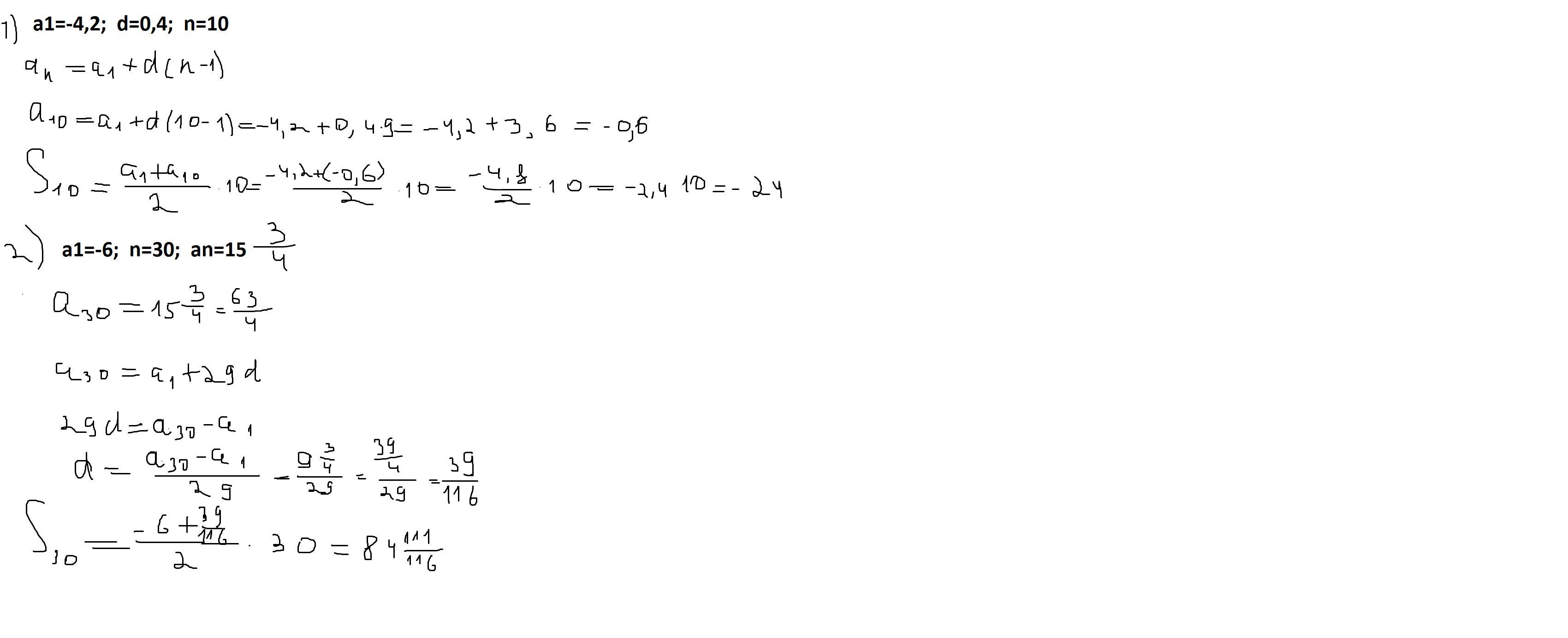
1)Дано:а1=-4,2;d=0,4;n=10

Найти:аn;Sn

2)Дано:a1=-6;n=30;an=15frac{3}{4}

Найти:d;Sn

Ответы

Ответ дал: matematikL
0

Ответ:

Объяснение:

вот и все

Приложения:
Вас заинтересует