• Предмет: Алгебра
  • Автор: LolKuk
  • Вопрос задан 8 лет назад

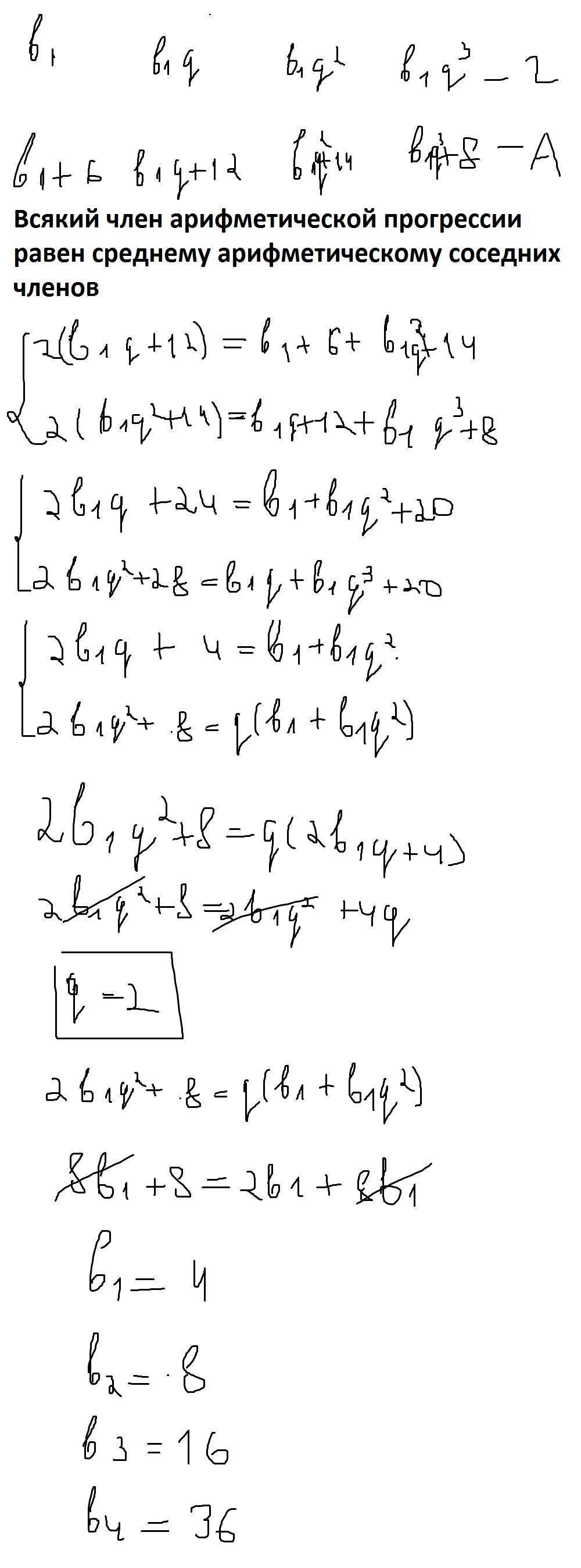
Четыре числа образуют геометрическую прогрессию. Если к ним прибавить соответственно 6, 12, 14 и 8, то получим четыре числа, которые образуют арифметическую прогрессию. Определи числа, образующие геометрическую прогрессию.

Ответ:
знаменатель геометрической прогрессии: q=
.

Члены геометрической прогрессии:

b1=
;b2=
;b3=
;b4=

Ответы

Ответ дал: matematikL
0

Ответ:

Объяснение:

вот и все

Приложения:
Вас заинтересует