• Предмет: Алгебра
  • Автор: minovaksyushashai
  • Вопрос задан 8 лет назад

ЛОГАРИФМИЧЕСКАЯ СИСТЕМА УРАВНЕНИЙ, С ОДЗ, ПОЖАЛУЙСТА​

Приложения:

Ответы

Ответ дал: matematikL
0

Ответ:

Объяснение:

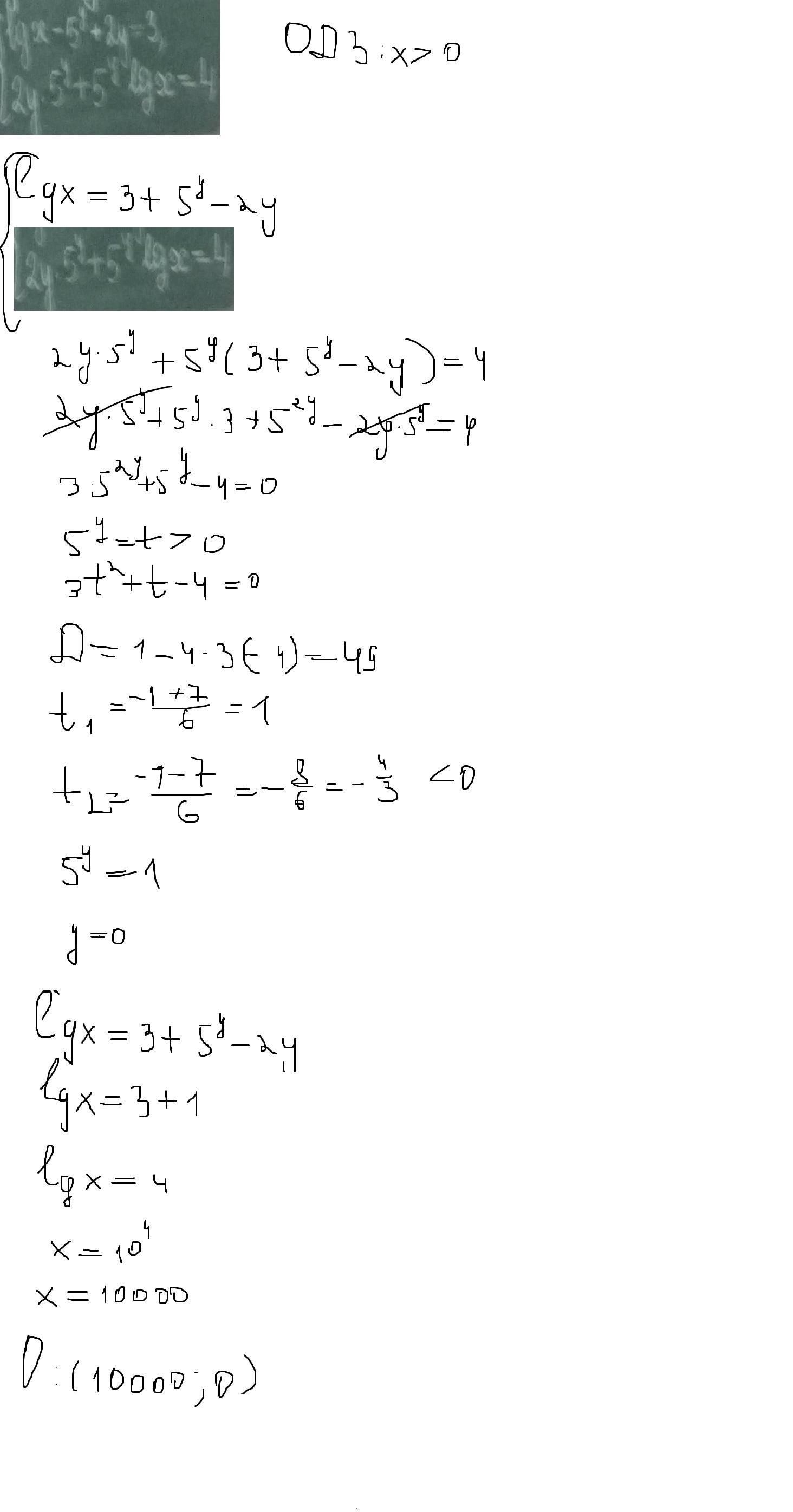
Одз х>0

Приложения:
Ответ дал: NNNLLL54
0

left{begin{array}{l}lgx-5^{y}+2y=3\2ycdot 5^{y}+5^{y}cdot lgx=4end{array}right; ; ; ; ODZ:; x>0\\\left{begin{array}{l}lgx=3-2y+5^{y}\lgx=frac{4-2ycdot 5^{y}}{5^{y}}end{array}right; ; ; Rightarrow ; ; ; 3-2y+5^{y}=frac{4-2ycdot 5^{y}}{5^{y}}; Big |cdot 5^{y}; ,; ; (5^{y}>0)\\\5^{y}cdot (3-2y+5^{y})=4-2ycdot 5^{y}\\(3-2y)cdot 5^{y}+(5^{y})^2-4+2ycdot 5^{y}=0\\(5^{y})^2+3cdot 5^{y}-4=0

t=5^{y}>0:; ; t^2+3t-4=0; ; ,; ; t_1=1; ,; t_2=-4; ; (teorema; Vieta)\\5^{y}=1; ; to ; ; 5^{y}=5^0; ; ,; ; underline {y=0}\\lgx=3-2y+5^{y}=3-2cdot 0+1=4; ; ,; ; lgx=4; ; to ; ; underline {x=10^4}\\Otvet:; ; (10000, ,, 0); .

Приложения:
Вас заинтересует