Помогите решить какое-нибудь задания. Тема: Интегрирование степенной функции с рациональным показателем. Заранее благодарен
Приложения:

Ответы
Ответ дал:
0
Решение:
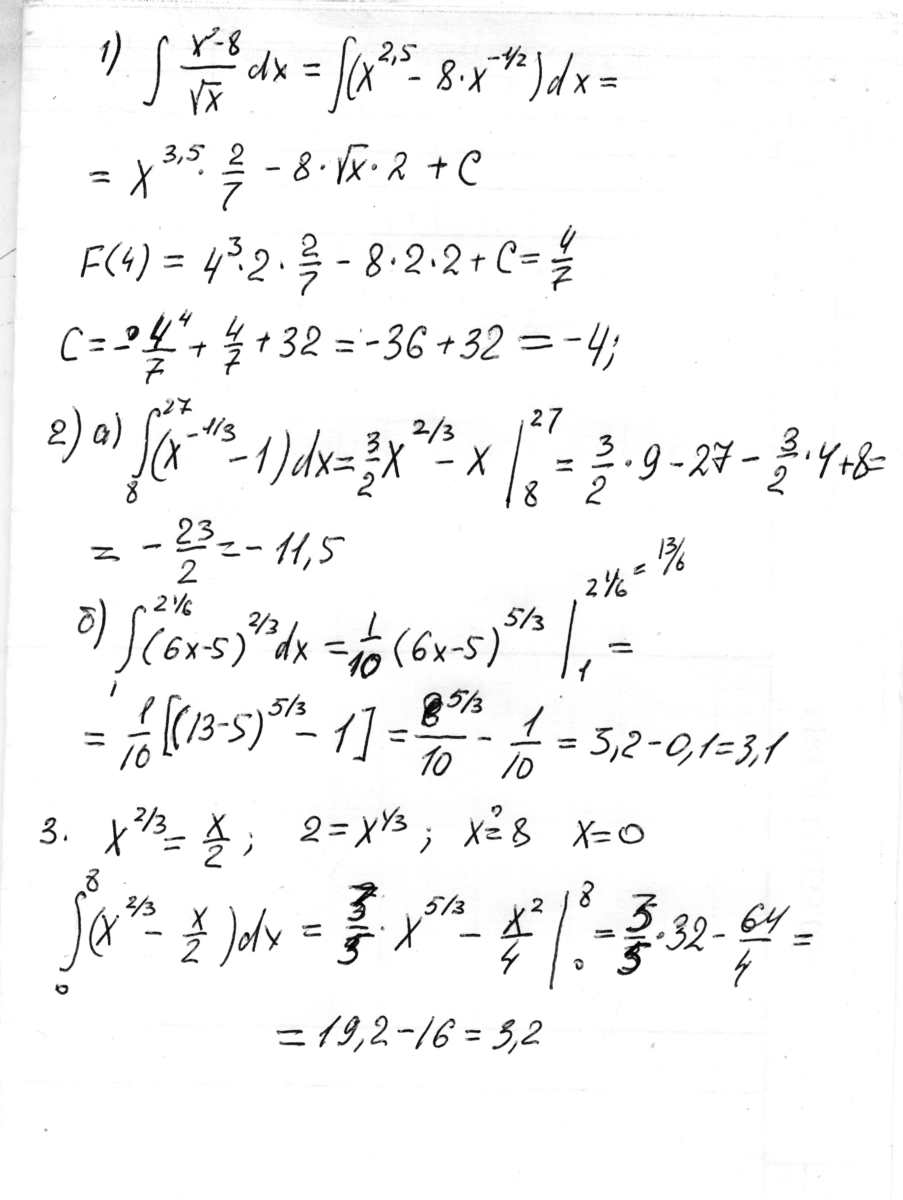
Смотри вложения.....
Смотри вложения.....
Приложения:

Вас заинтересует
2 года назад
2 года назад
8 лет назад
10 лет назад
10 лет назад
10 лет назад
10 лет назад