• Предмет: Математика
  • Автор: danaeremin0
  • Вопрос задан 8 лет назад

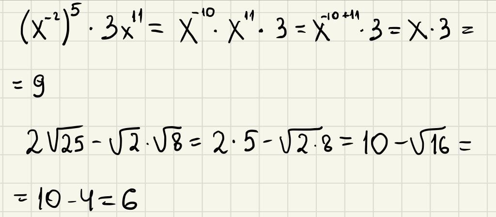
помогите пожалуйста 1 и 2​

Приложения:

Ответы

Ответ дал: tearsasproof
0

Ответ:

Пошаговое объяснение:

Приложения:
Вас заинтересует