Ответы
Ответ дал:
0
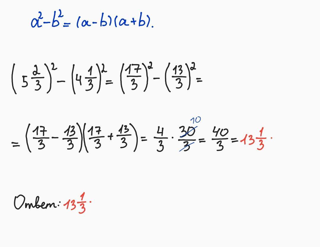
Если правильно поняла Ваше условие.
Приложения:

Вас заинтересует
2 года назад
3 года назад
3 года назад
8 лет назад