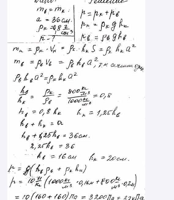
плиз решите. Сосуд с водой в форме куба с длиной
ребра 36 см доверху заполнен водой и ке-
росином одинаковой массы. Каково дав-
ление жидкостей на дно сосуда? (3,2 кПа)
Ответы
Ответ дал:
0
Ответ:
ответ
Объяснение:
Приложения:

Вас заинтересует
2 года назад
2 года назад
3 года назад
3 года назад
8 лет назад
8 лет назад
9 лет назад
9 лет назад