Ответы
Ответ дал:
0
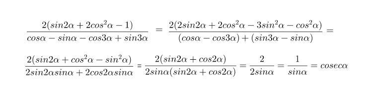
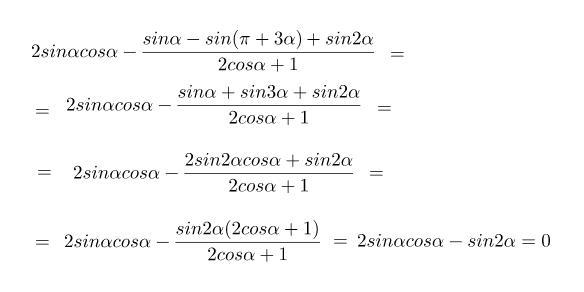
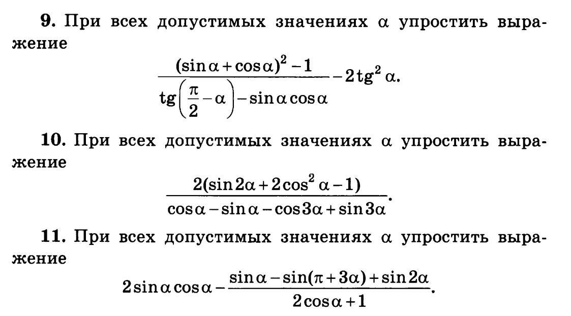
Смотри в приложении:
Приложения:



Вас заинтересует
2 года назад
2 года назад
3 года назад
3 года назад
8 лет назад
8 лет назад
9 лет назад