Ответы
Ответ дал:
0
Ответ:
Объяснение:
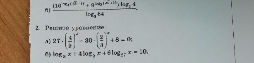
Всё второе задание
Приложения:


Ответ дал:
0
спасибо, ВАМ, огромное
Вас заинтересует
2 года назад
2 года назад
3 года назад
3 года назад
8 лет назад
8 лет назад