Ответы
Ответ дал:
0
так, ну если нигде не ошибся, должно получиться так)
Приложения:

Ответ дал:
0
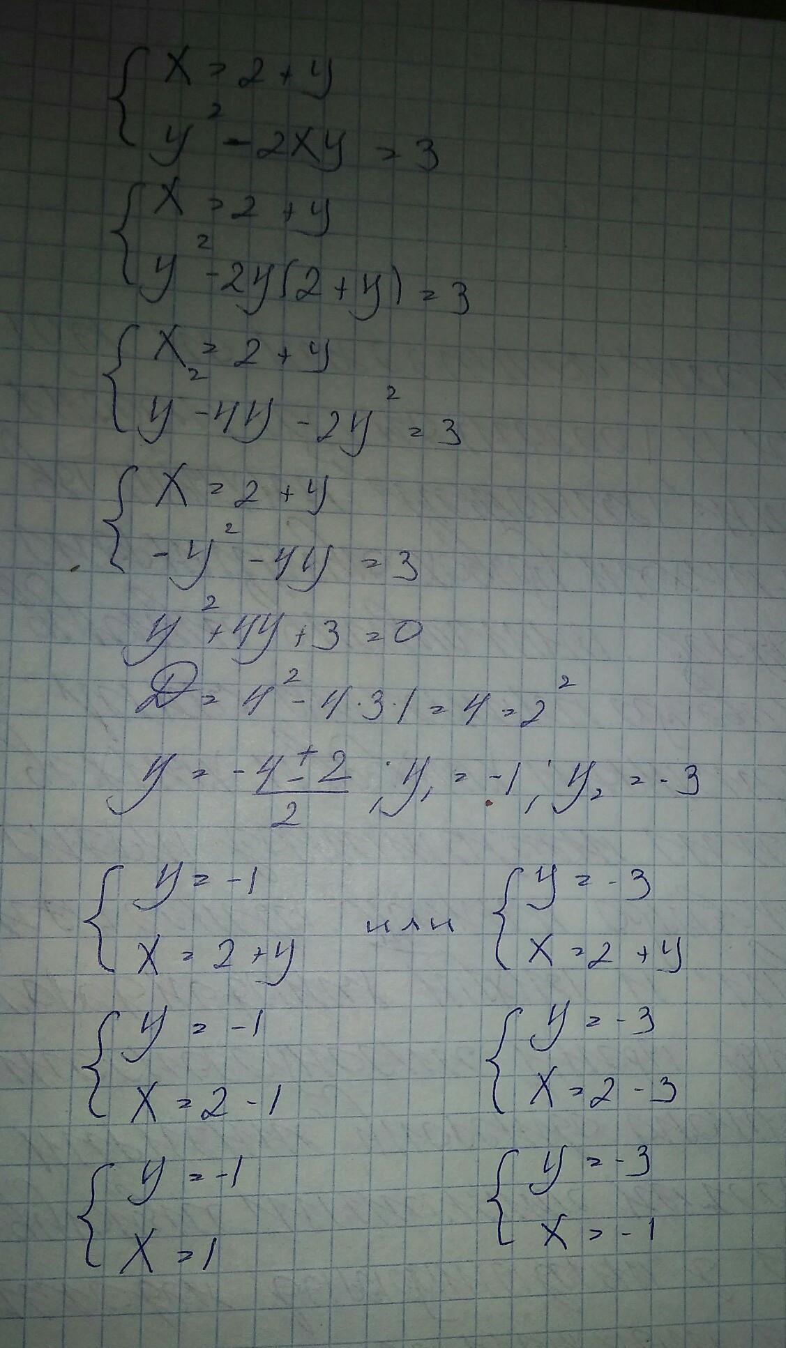
Ответ:
(1;-1)
(-1;-3)
Объяснение:
x=2+y
y²-2xy=3 поставим значение х на второе уравнение
у²-2у(2+у)=3
у²-2у²-4у-3=0
-у²-4у-3=0 /делим на -1
у²+4у+3=0
D=4²-4×3×1=16-12=4
y1= (-4+2)/2=-1
y2=(-4-2)/2=-3
х1=2+(-1)=1
х2=2+(-3)=-1
Приложения:

Вас заинтересует
2 года назад
2 года назад
3 года назад
3 года назад
8 лет назад