• Предмет: Алгебра
  • Автор: makerman89
  • Вопрос задан 8 лет назад

ПОМОГИТЕ ПЛИЗ РЕШИТЕ
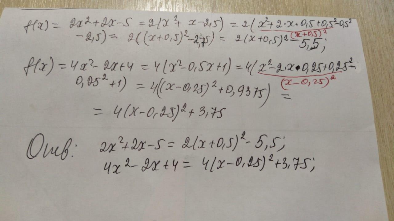
Выделите квадрат двучлена для функции f(x)
f(x) - 2х^2 + 2х - 5;
f(x) - 4x^2 - 2х + 4;​​

Ответы

Ответ дал: ВладимирБ
0

Ответ:

Объяснение:

..............................

Приложения:
Ответ дал: Inhumans
0
50 баллов даю
Ответ дал: terikovramazan
0

Ответ:приложено

Объяснение:

Приложения:
Вас заинтересует