• Предмет: Алгебра
  • Автор: bigbossgarbuz
  • Вопрос задан 8 лет назад

помогите пожалуйста
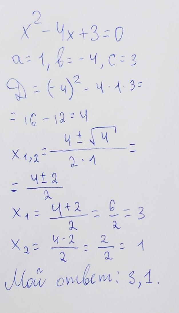
Реши квадратное уравнение x2−4x+3=0
(первым вводи больший корень).

Ответы

Ответ дал: Rahmann
0

Прикрепил

___________

Приложения:
Вас заинтересует