• Предмет: Алгебра
  • Автор: makarenkoalina155664
  • Вопрос задан 8 лет назад

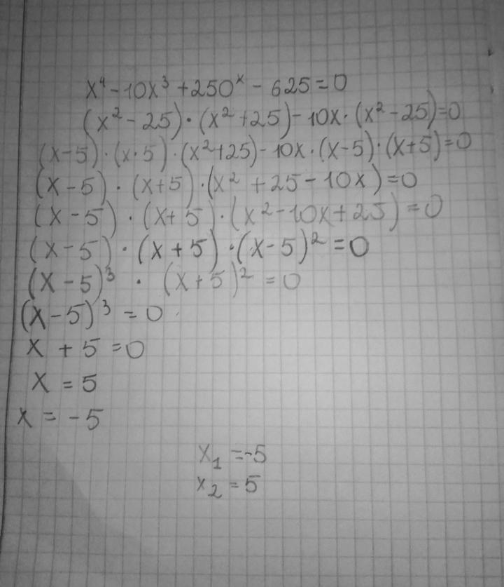
Розв'яжіть рівняння х⁴-10х³+250х-625=0

Ответы

Ответ дал: mmb1
0

(a - b)³ = a³ - 3a²b + 3ab² - b³

х⁴-10х³+250х-625=0

х⁴+5x³-15х³-75x² + 75x² +  375x -125х-625=0

х³(x+5)-15х²(x+5) + 75x(x +  5) -125(х+5)=0

(x + 5)(x³ - 15x³ + 75x - 125) = 0

(x + 5)(x³ - 3*5*x² + 3*5²*x - 5³) = 0

(x + 5)(x - 5)³ = 0

x = 5

x = -5

Ответ дал: LadyLuck2019
0

Ответ:

Объяснение:

Решение во вложение:

Приложения:
Вас заинтересует