Ответы
Ответ дал:
0
Ответ:
Пошаговое объяснение:
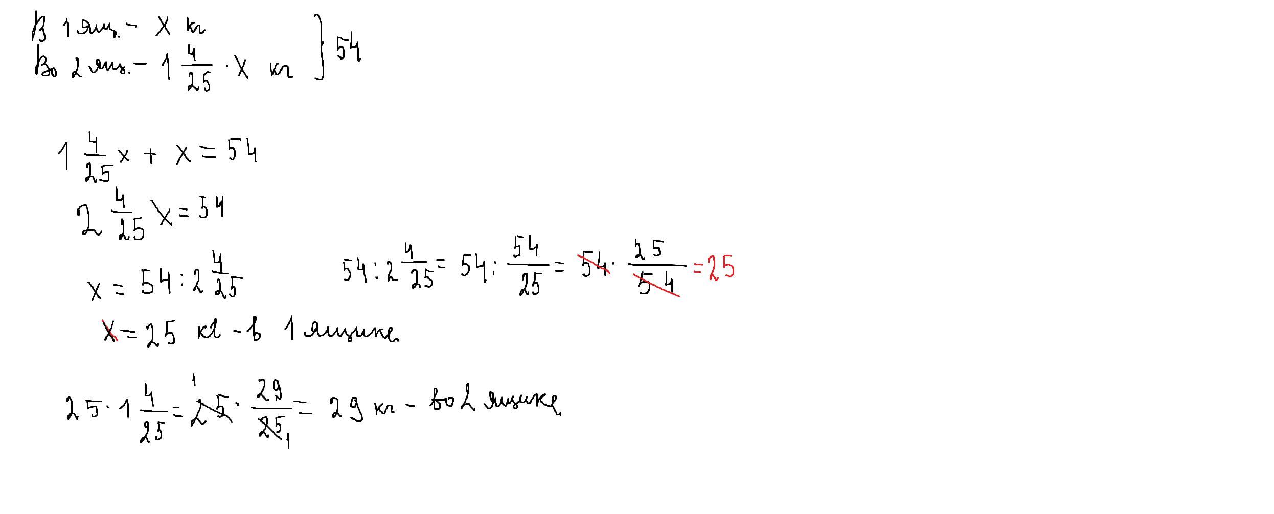
т.к в первом ящике меньше в 1 425 раза,то тогда во 2 ящике наоборот,в 1 425 раза больше.Поэтому за Х обозначим количество конфет в 1 ящике
Приложения:

Вас заинтересует
2 года назад
2 года назад
3 года назад
3 года назад
8 лет назад
8 лет назад