• Предмет: Алгебра
  • Автор: Murрhу
  • Вопрос задан 8 лет назад

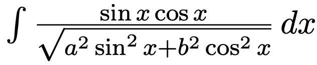
Вычислить интеграл функции, №2

Приложения:

Ответы

Ответ дал: igorShap
0

a^2sin^2x+b^2cos^2x=t=>dt=2sinxcosxa^2-2sinxcosxb^2=sincosx(2a^2-2b^2)dx\ int dfrac{dt}{(2a^2-2b^2)sqrt t}=dfrac{1}{2a^2-2b^2}2sqrt t+C=dfrac{sqrt {a^2sin^2x+b^2cos^2x}}{a^2-b^2}+C

Вас заинтересует