Ответы
Ответ дал:
0
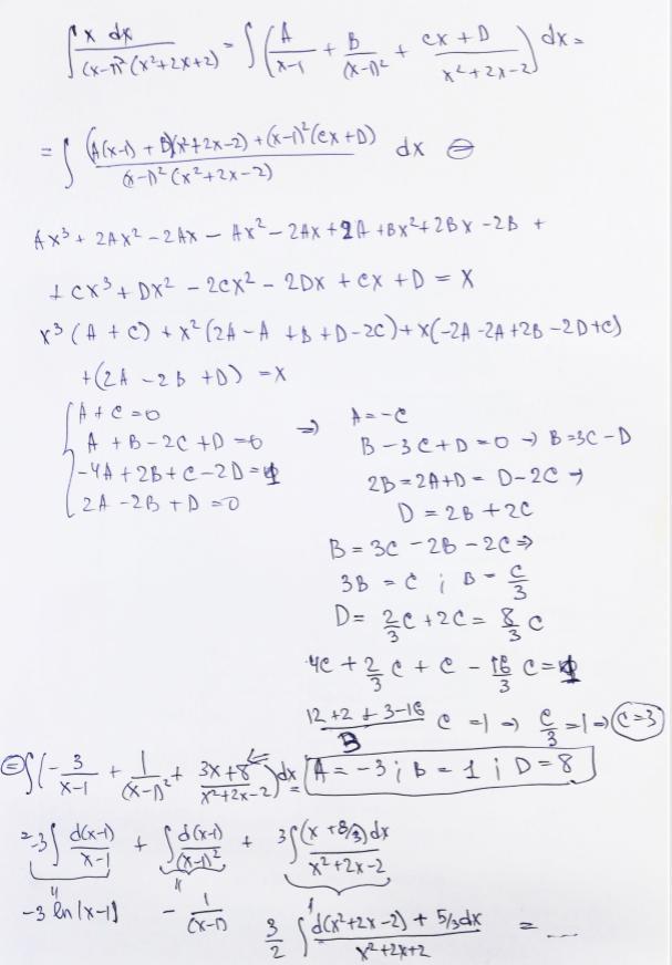
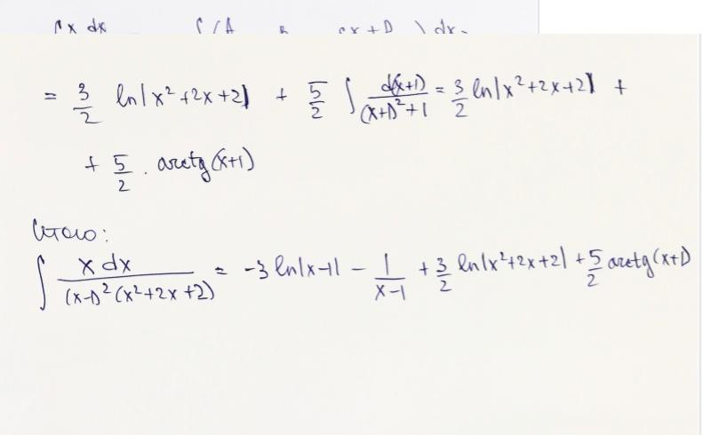
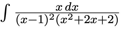
Решение на фото.
Для решения применяется метод разложения подынтегральной функции на сумму элементарных дробей.
Приложения:


Вас заинтересует
2 года назад
2 года назад
3 года назад
3 года назад
8 лет назад
8 лет назад
9 лет назад