• Предмет: Алгебра
  • Автор: nikerson2018
  • Вопрос задан 8 лет назад

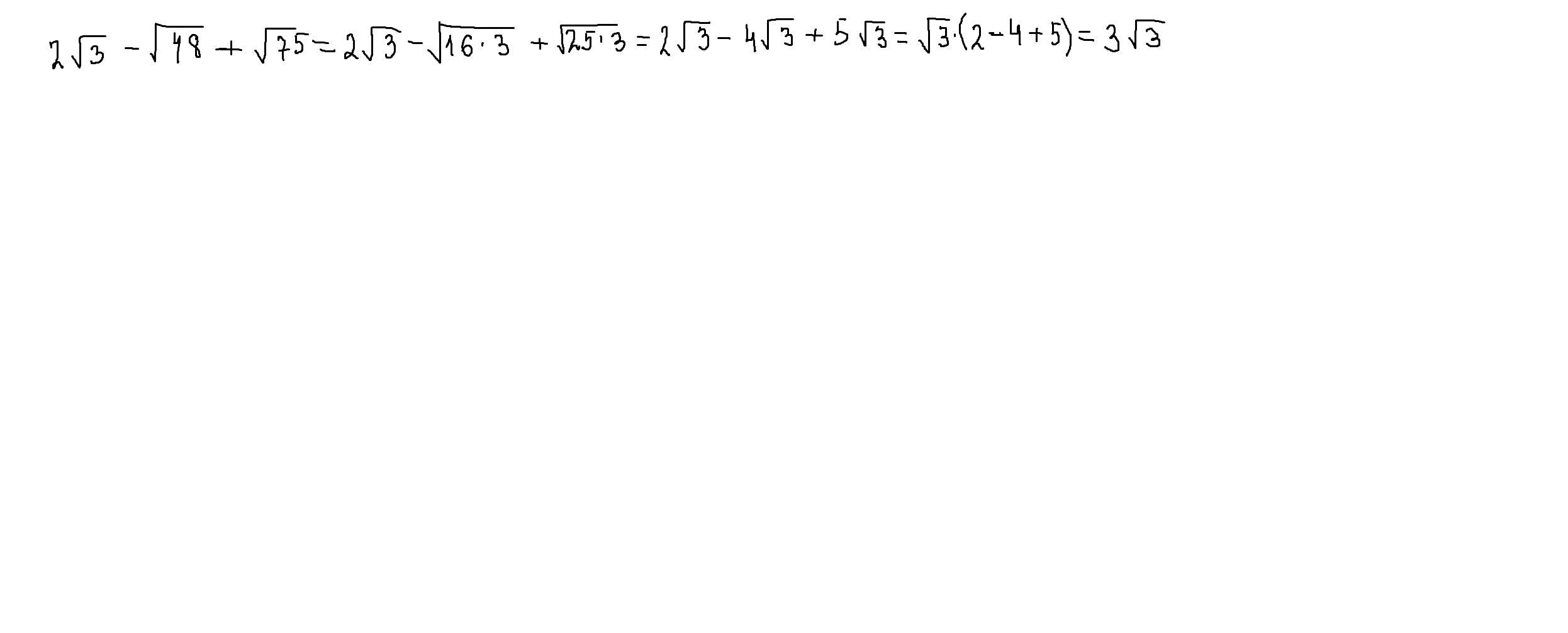
Решите пж 2sqrt{3} -sqrt{48} +sqrt{75}

Ответы

Ответ дал: parus77
0

Ответ:

3√3

Объяснение:

Приложения:
Вас заинтересует