• Предмет: Алгебра
  • Автор: oblov2011
  • Вопрос задан 8 лет назад

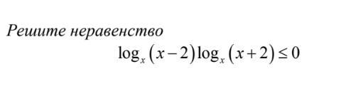
Помогите с логарифмическим неравенством из вложения, пожалуйста

Приложения:

Ответы

Ответ дал: ВладимирБ
0

Ответ:

Объяснение:

.................................

Приложения:
Вас заинтересует