• Предмет: Алгебра
  • Автор: hoorma
  • Вопрос задан 8 лет назад

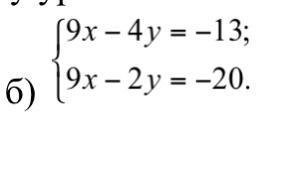
помогите решить это уравнение

Приложения:

Ответы

Ответ дал: Universalka
0

-left { {{9x-4y=-13} atop {9x-2y=-20}} right.\-------\ -2y=7\\y=-3,5\\9x=4y-13=4*(-3,5)-13=-14-13=-27\\x=-3\\Otvet:boxed{(-3;-3,5)}

Ответ дал: ksenia162805
0

Объяснение:

решим способом сложения, второе уравнение умножим на -2, чтобы у сократились

получим что

9х-4у=-13

-18х+4у=40

теперь сложим уравнения, оставим первое

9х-4у=-13

-9х=27

решим второе уравнение

9х-4у=-13

х=-3

подставим в первое уравнение

9*(-3)-4у=-13

х=-3

все что знаем переносим в право

-4у=14

х=-3

решим первое уравнение

у=-3.5

х=-3

ответ:(-3;-3.5)

Вас заинтересует