Ответы
Ответ дал:
0
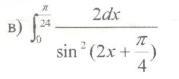
Для данного решения необходимо помнить, что:
А также:
(производная)
Приложения:

Вас заинтересует
2 года назад
2 года назад
3 года назад
8 лет назад
8 лет назад
9 лет назад