Ответы
Ответ дал:
0
Ответ:
.................................
Приложения:

Ответ дал:
0
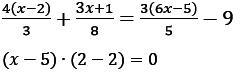
Уравнение имеет бесконечное множество решений
Приложения:

Вас заинтересует
2 года назад
2 года назад
3 года назад
3 года назад
8 лет назад