• Предмет: Математика
  • Автор: 2ZdesNik7
  • Вопрос задан 8 лет назад

ДАМ ОЧЕНЬ МНОГО БАЛЛОВ , РЕШИТЕ ПОЖАЛУЙСТА ​

Приложения:

Ответы

Ответ дал: gggarbakov
0

Ответ:

Смотри решение на фото

Приложения:
Ответ дал: zarinazhenisova2005
0

Ответ:

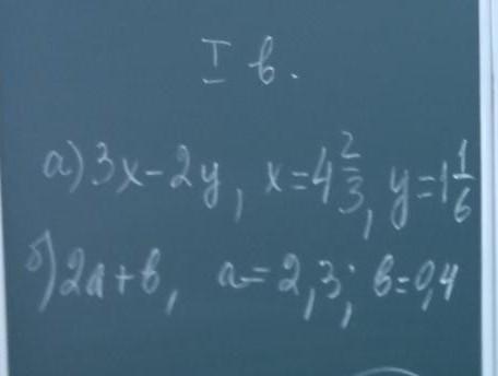
а)

15 frac{2}{3}

Пошаговое объяснение:

3 times 4 frac{2}{3}  - 2 times 1 frac{1}{6}  = 18 - 2 frac{1}{3}  = 15 frac{2}{3}

Приложения:
Вас заинтересует