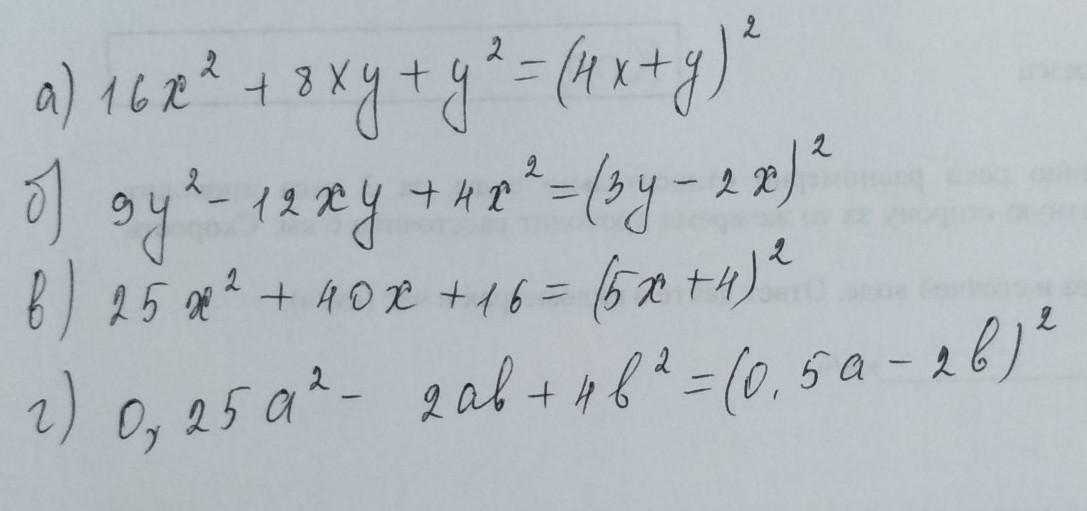
45 баллов за это.Преобразуйте в квадрат суммы или разности: а)16x²+8xy+y²
б)9y²-12xy+4x²
в)25x²+40x+16
г)0,25a²-2ab+4b²
Помогите пожалуйста.Заранее спасибо.
Ответы
Ответ дал:
0
Ответ:
Смотри решение на фото
Приложения:

Ответ дал:
0
Ответ:
в)25х2+40х+16 вот ответ
Приложения:

Вас заинтересует
2 года назад
2 года назад
3 года назад
8 лет назад
9 лет назад