помогите пж умоляю поршу вас
Задание 2.
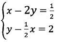
Определите количество решений системы графическим методом:
Приложения:

Ответы
Ответ дал:
0
x - 2y = 1/2 - График красного цвета
y - 1/2x = 2 - График синего цвета
Ответ : решений нет
Приложения:

Вас заинтересует
2 года назад
2 года назад
3 года назад
3 года назад
9 лет назад