• Предмет: Алгебра
  • Автор: o0l0l0l0o
  • Вопрос задан 8 лет назад

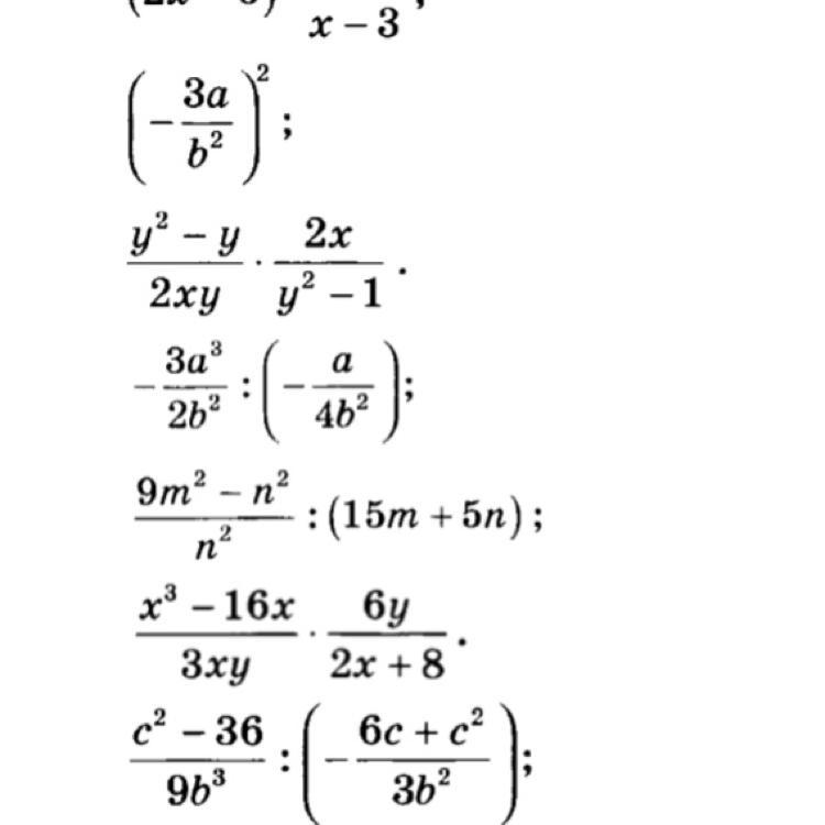
Выполните действия
Буду очень благодарна

Приложения:

Ответы

Ответ дал: takmakova0319
0

Надеюсь поймёшь мой почерк)))

Приложения:
Ответ дал: o0l0l0l0o
0
Спасибо тебе огромное))
Вас заинтересует