• Предмет: Алгебра
  • Автор: xxfokycxx
  • Вопрос задан 8 лет назад

Упростите эти примеры

Приложения:

Ответы

Ответ дал: natalyabryukhova
0

Ответ:

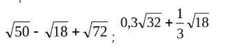
sqrt{50}-sqrt{18}+sqrt{72}=sqrt{25*2}-sqrt{9*2}+sqrt{36*2}=5sqrt{2}-3sqrt{2}+6sqrt{2}=8sqrt{2}\0,3sqrt{32}+frac{1}{3}sqrt{18}=0,3sqrt{16*2}+frac{1}{3}sqrt{9*2}=0,3*4*sqrt{2}+frac{1}{3}*3*sqrt{2}=1,2sqrt{2}+sqrt{2}=2,2sqrt{2}

Объяснение:

Вас заинтересует