• Предмет: Математика
  • Автор: patlinapatlina
  • Вопрос задан 8 лет назад

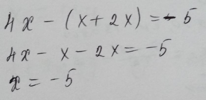
4х-(х+2х)=-5
Помогите решить

Ответы

Ответ дал: gggarbakov
0

Ответ:

Смотри решение на фото

Приложения:
Ответ дал: grigorenkolev843
0

Ответ:

4x-(x+2x)=-5

1.)4x-x-2x=-5

2.)x=-5

Пошаговое объяснение:

1. Раскрываем скобки

2.Приводим подобные слагаемые и получаем ответ

Приложения:
Вас заинтересует