Ответы
Ответ дал:
0
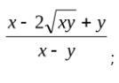
X - 2корня xy + y = (корень х - корень у)^2
X - y = (корень х - корень у)(корень х + корень y)
То есть получаем
Корень х - корень у
———————————
Корень х + корень у
X - y = (корень х - корень у)(корень х + корень y)
То есть получаем
Корень х - корень у
———————————
Корень х + корень у
Вас заинтересует
2 года назад
3 года назад
9 лет назад
9 лет назад
10 лет назад