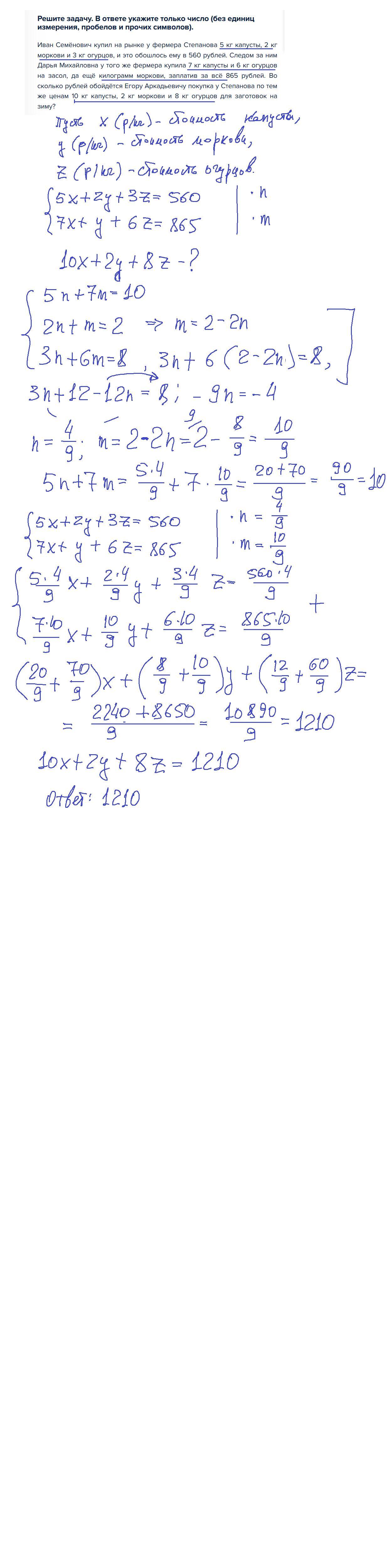
Иван Семёнович купил на рынке у фермера Степанова 5 кг капусты, 2 кг моркови и 3 кг огурцов, и это обошлось ему в 560 рублей. Следом за ним Дарья Михайловна у того же фермера купила 7 кг капусты и 6 кг огурцов на засол, да ещё килограмм моркови, заплатив за всё 865 рублей. Во сколько рублей обойдётся Егору Аркадьевичу покупка у Степанова по тем же ценам 10 кг капусты, 2 кг моркови и 8 кг огурцов для заготовок на зиму?
Ответы
Ответ дал:
0
Ответ:
Пошаговое объяснение:
Приложения:

Вас заинтересует
2 года назад
8 лет назад
9 лет назад