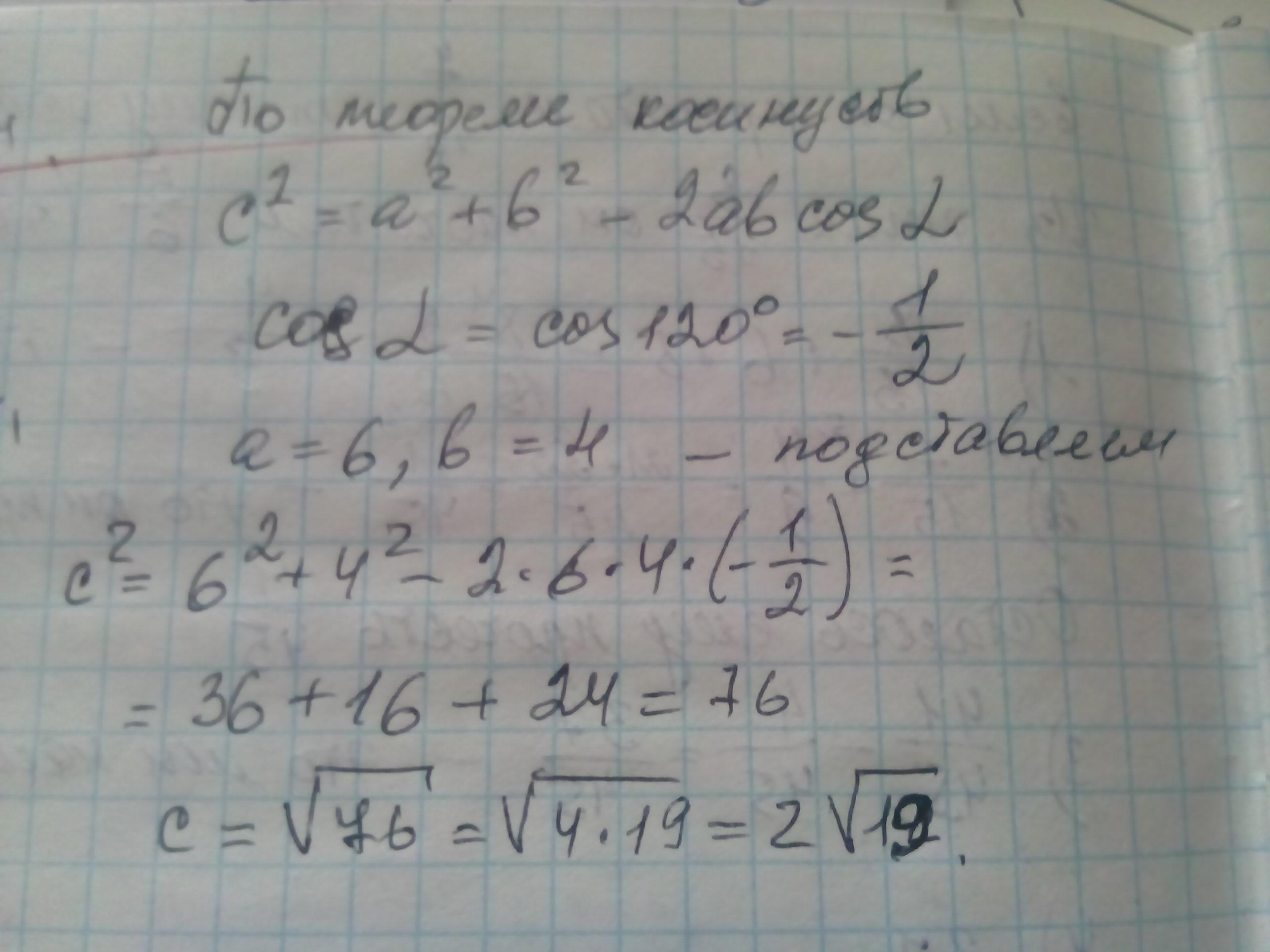
дві сторони трикутника дорівнює 6см і 4см а кут між ними 120°. знайдіть третю сторону трикутника та його площу
будь ласка допоможіть
Ответы
Ответ дал:
0
Ответ:
Объяснение:
Смотрите вложение
Приложения:

Вас заинтересует
2 года назад
2 года назад
3 года назад
3 года назад
8 лет назад
8 лет назад
9 лет назад