Ответы
Ответ дал:
0
Ответ:
-8(1/12)
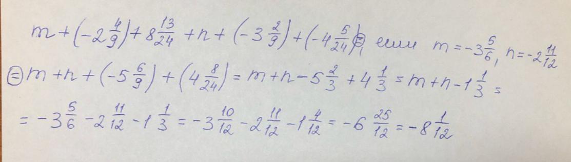
Подробно написано в фото
Приложения:

Ответ дал:
0
Ответ:
№992
2) m+(-2 4/9)+8 13/24+n+(-3 2/9)+(-4 5/24)=m-2 4/9+8 13/24+n-3 2/9-4 5/24=m+n-5 6/9+4 8/24=m+n-5 2/3+4 1/3=m+n-1 1/3=-3 5/6-2 11/12-1 1/3=
=-23/6 - 35/12 - 4/3=-46/12 - 35/12 -16/12= -95/12= - 7 11/12
Пошаговое объяснение:
Приложения:

Вас заинтересует
2 года назад
2 года назад
3 года назад
3 года назад
8 лет назад
9 лет назад